
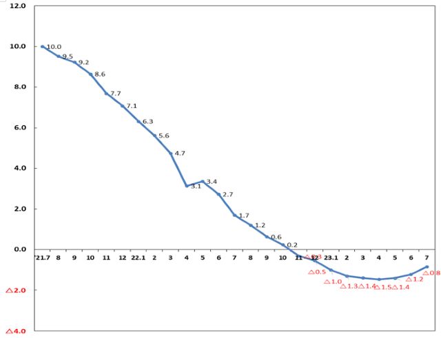
(서울=NSP통신) 강수인 기자 = 2021년부 7월부터 우하향하던 그래프가 2023년 4월 이후 조금씩 우상향하고 있다. 이 그래프는 2021년 7월부터 2023년 7월까지 가계대출 증가율을 보여준다. 즉 지난 4개월간 가계대출 감소폭이 줄어들며 그래프가 다시 오름세를 보이고 있다.
8일 금융위원회에서 발표한 ‘2023년 7월중 가계대출 동향’에 따르면 7월중 전금융권 가계대출은 5조 4000억원 증가하는 등 4개월 연속 증가세가 지속되고 있다. 전년 동월 대비 가계대출 증가율을 보면 지난 4월 -1.5%, 5월 -1.4%, 6월 -1.2%, 7월 -0.8%로 감소폭이 축소되고 있다.
특히 은행권 가계대출은 지난 1월부터 7월까지 10조 2000억원 증가했다. 그중 지난달 증가액이 6조원으로 2021년 9월 6조 4000억원이 증가한 이래 월별 최대 증가규모를 기록했다. 7월말 은행 가계대출 잔액은 1068조 1430억원으로 집계됐다.
은행권의 가계대출이 역대급으로 증가한 것은 주택구입 관련 자금 수요가 지속됨에 따라 정책모기지와 일반개별주담대가 확대되고 공모주 청약 등으로 주식시장에 자금이 흘러갔기 때문이다.
한국은행은 “7월중 은행 가계대출은 주담대를 중심으로 큰 폭의 증가세를 지속했다”며 “주담대는 전세자금 수요가 둔화됐으나 주택구입 관련 자금 수요가 지속되며 전월에 이어 큰 폭으로 증가했고 기타대출은 둔화흐름을 지속하고 있지만 분기말효과가 소멸하고 주식투자관련 일부 자금 수요 등으로 감소폭이 축소됐다”고 설명했다. 분기말 효과란 분기말 부실채권에 대한 매·상각 효과를 말한다.
제2금융권 역시 공모주 청약, 6월 상각효과 등 일시적 자금수요로 인해 감소폭이 둔화됐다. 특히 보험 계약대출과 여전사 카드대출을 중심으로 증가하며 기타대출의 감소폭이 축소됐다.
이같은 흐름이 이어지자 올 하반기 가계대출이 더 확대될 것이란 의견이 나온다. 앞으로 미국 연방준비제도(Fed)의 추가 금리 상승 시사와 함께 한은의 기준금리 인상 가능성도 열려 있어 높은 수준의 대출금리가 변수가 될 수도 있다는 전망도 있다.
윤옥자 한은 금융시장국 시장총괄팀 차장은 “주택거래상황에서 지난 6월까지 계약된 매매거래를 보면 회복흐름을 보이고 있어 이 흐름이 시차를 두고 주담대 실행으로 이어지는 부분이 있기 때문에 주택자금수요가 지속될 가능성은 있어보인다”면서도 “다만 대출금리가 여전히 높은 수준이라 향후 가계대출이 어떻게 될지는 지켜볼 필요가 있다”고 말했다.
ⓒ한국의 경제뉴스통신사 NSP통신·NSP TV. 무단전재-재배포 금지.